题目内容
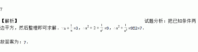
已知a+=3,则a2+的值是_____.
下列是最简分式的是( )
A. B. C. D.
如图,动点P在平面直角坐标系中按图中箭头所示方向运动,第1次从原点运动到点(1,1),第2次接着运动到点(2,0),第3次接着运动到点(3,2),…,按这样的运动规律,经过第2018次运动后,动点P的坐标是_____________.
为建设资源节约型、环境友好型社会,克服因干旱而造成的电力紧张困难,切实做好节能减排工作.某地决定对居民家庭用电实行“阶梯电价”,电力公司规定:居民家庭每月用电量在80千瓦时以下(含80千瓦时,1千瓦时俗称1度)时,实行“基本电价”;当居民家庭月用电量超过80千瓦时时,超过部分实行“提高电价”.
(1)小张家今年2月份用电100千瓦时,上缴电费68元;5月份用电120千瓦时,上缴电费88元.求“基本电价”和“提高电价”分别为多少元/千瓦时;
(2)若6月份小张家预计用电130千瓦时,请预算小张家6月份应上缴的电费.
若是完全平方公式,则m= __________
若,则m,k的值分别是( )
A. m=—2,k=6, B. m=2,k=12, C. m=—4,k=—12 D. m=4,k=-12、
甲、乙两人走同一路线都从A地匀速驶向B地,如图是两人行驶路程随时间变化的图象.
(1)此变化过程中,__________是自变量,_________是因变量;
(2)乙行驶了______小时刚好追上甲;
(3)分别求出甲、乙两人S与t的关系式.
如图,已知=,那么 ( )
A、AB//CD,根据内错角相等,两直线平行
B、AD//BC,根据内错角相等,两直线平行
C、AB//CD,根据两直线平行,内错角相等
D、AD//BC,根据两直线平行,内错角相等
如图,已知∠O=30°,点B是OM边上的一个点光源,在边ON上放一平面镜.光线BC经
过平面镜反射后,反射光线与边OM的交点记为E,则△OCE是等腰三角形的个数有( )
A. 1个 B. 2个 C. 3个 D. 3个以上