题目内容
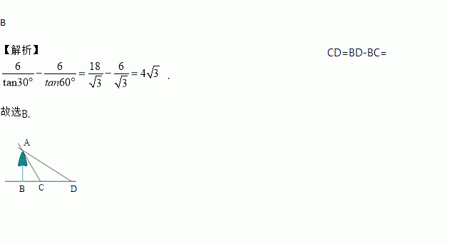
如图所示,平地上一棵树高为6米,两次观察地面上的影子,第一次是当阳光与地面成时,第二次是阳光与地面成时,第二次观察到的影子比第一次长()
A. B. C. D.
计算:
(1)(﹣1)2﹣+(﹣2)0 (2)×÷(﹣)
小明在计算时遇到以下情况,结果正确的是( )
A. B.
C. D. 以上都不是
空气是由多种气体混合而成的,为了简明扼要地介绍空气的组成情况,较好地描述数据,最适合使用的统计图是( )
A. 扇形统计图 B. 条形统计图 C. 折线统计图 D. 以上都不对
如图,在楼房MN前有两棵树与楼房在同一直线上,且垂直于地面,为了测量树AB、CD的高度,小明爬到楼房顶部M处,光线恰好可以经过树CD的顶站C点到达树AB的底部B点,俯角为45°,此时小亮测得太阳光线恰好经过树CD的顶部C点到达楼房的底部N点,与地面的夹角为30°,树CD的影长DN为15米,请求出树AB、CD的高度.(结果保留根号)
李刚同学拿一个矩形木框在阳光下摆弄,矩形木框在地面上形成的投影不可能是()
一个小妹妹将10盒蔬菜的标签全部撕掉了.现在每个盒子看上去都一样,但是她知道有3盒玉米、2盒菠菜、4盒豆角、1盒土豆.她随机地拿出一盒并打开它,则盒子里面是玉米的概率是_______,盒子里面不是菠菜的概率是________.
命题:①对顶角相等;②垂直于同一条直线的两直线平行;③相等的角是对顶角;④同位角相等.其中假命题有( )
A. 1个 B. 2个 C. 3个 D. 4个
把三张大小相同的正方形卡片A、B、C叠放在一个底面为正方形的盒底上,底面未被卡片覆盖的部分用阴影表示,若按图1摆放时,阴影部分的面积为S1;若按图2摆放时,阴影部分的面积为S2,则S1与S2的大小关系是……………………………………………( )
A. S1>S2 B. S1<S2 C. S1=S2 D. 无法确定