题目内容
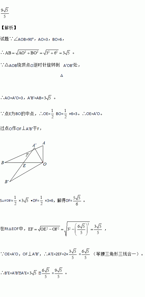
如图,△AOB中,∠AOB=90°,AO=3,BO=6,△AOB绕顶点O逆时针旋转到△A′OB′处,此时线段A′B′与BO的交点E为BO的中点,则线段B′E的长度为 .
下列命题中,真命题是 ( )
A. 两对角线相等的四边形是矩形
B. 两对角线互相平分的四边形是平行四边形
C. 两对角线互相垂直的四边形是菱形
D. 两对角线相等的四边形是等腰梯形
如图,在一笔直的沿湖道路上有A、B两个游船码头,观光岛屿C在码头A北偏东60°的方向,在码头B北偏东15°的方向,AB=4km.
(1)求观光岛屿C与码头A之间的距离(即AC的长);
(2)游客小明准备从观光岛屿C乘船沿湖回到码头A或沿CB回到码头B,若开往码头A、B的游船速度相同,设开往码头A、B所用的时间分别是t1、t2,求的值.(结果保留根号)
在平面直角坐标系中,P点关于原点的对称点为P1(-3,-),P点关于x轴的对称点为P2(a,b),则=( )
A.-2 B.2 C.4 D.-4
小明、小华在一栋电梯楼前感慨楼房真高.小明说:“这楼起码20层!”小华却不以为然:“20层?我看没有,数数就知道了!”小明说:“有本事,你不用数也能明白!”小华想了想说:“没问题!让我们来量一量吧!”小明、小华在楼体两侧各选A、B两点,测量数据如图,其中矩形CDEF表示楼体,AB=150米,CD=10米,∠A=30°,∠B=45°,(A、C、D、B四点在同一直线上)问:
(1)楼高多少米?
(2)若每层楼按3米计算,你支持小明还是小华的观点呢?请说明理由.(参考数据:≈1.73,≈1.41,≈2.24)
若|p+3|=0,则p= .
一副三角板有两个直角三角形,如图叠放在一起,则的度数是( )
A. 165° B. 120° C. 150° D. 135°
如图,D为⊙O上一点,点C在直径BA的延长线上,且∠CDA=∠CBD.
(1)判断CD与圆O的位置关系,并说明理由;
(2)若⊙O的半径为2,∠CBD=30°,求图中阴影部分的面积.
如图,AD是∠EAC的平分线,AD∥BC,∠B=30°,则∠C的度数为( )
A. 50° B. 40° C. 30° D. 20°