题目内容
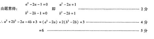
(本题5分)已知a、b为方程x2-2x-1=0的两根,不解方程,求a2+2b2-2a-4b+3的值.
解析
(本题10分)已知△ABC的一条边BC的长为5,另两边AB、AC的长是关于x的一元二次方程的两个实数根.
(1)求证:无论为何值时,方程总有两个不相等的实数根;
(2)当为何值时,△ABC是以BC为斜边的直角三角形;
(本题7分)已知一元二次方程x2-2x+m=0.
1.(1)若方程有两个实数根,求m的范围;
2.(2)若方程的两个实数根为x1,x2,且x1+3x2=3,求m的值.
(本题10分)已知一个正比例函数和一个一次函数的图象交于点P(-2,2),且一次函数的图象与y轴相交于点Q(0,4)
1.(1)求这两个函数的解析式
2.(2)在同一坐标系内,分别画出这两个函数的图象
3.(3)求出的面积
(本题9分)
已知△ABC的两边AB、AC的长是关于x的一元二次方程x2-(2k+3)x+k2+3k+2=0的两个实数根,第三边BC的长为5,试问:k取何值时,△ABC是以BC为斜边的直角三角形?