题目内容
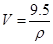
一定质量的二氧化碳,其体积V(
是密度
的反比例函数,请你根据图中的已知条件,下出反比例函数的关系式 ,当V=1.9
时,
= .![]()
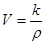
,![]()
解析试题分析:由题意设反比例函数的关系式为
,再把(1.9,5)代入即可求得关系式,最后把V=1.9
代入即可求得结果.
设反比例函数的关系式为![]()
∵图象过点(1.9,5)
∴![]()
∴反比例函数的关系式为![]()
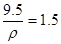
当V=1.9
时,
,解得![]()
.
考点:反比例函数的应用
点评:本题属于基础应用题,只需学生熟练掌握待定系数法求函数关系式,即可完成.
练习册系列答案
相关题目
| A、5kg/m3 | B、2kg/m3 | C、100kg/m3 | D、1kg/m3 |