题目内容
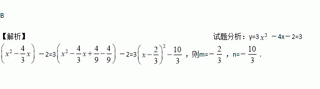
用配方法将二次函数y=3x2-4x-2写成形如y=a(x+m)2+n的形式,则m、n的值分别是( )
A. m=,n= B. m=-,n=- C. m=2,n=6 D. m=2,n=-2
-3的相反数是( )
A. B. C. 3 D. -3
已知α,β是方程x2+2006x+1=0的两个根,则(1+2008α+α2)(1+2008β+β2)的值为_______。
已知二次函数y=x2+4x+k-1.
(1)若抛物线与x轴有两个不同的交点,求k的取值范围;
(2)若抛物线的顶点在x轴上,求k的值.
已知x、y是实数,并且,则的值是______________.
如图1,已知:已知:等边△ABC,点D是边BC上一点(点D不与点B、点C重合),求证:BD+DC>AD.
下面的证法供你参考:
把△ACD绕点A顺时针旋转60°得到△ABE,连接ED,则有△ACD≌△ABE,DC=EB,∵AD=AE,∠DAE=60°,
∴△ADE是等边三角形,∴AD=DE.在△DBE中,BD+EB>DE,即:BD+DC>AD
实践探索:
(1)请你仿照上面的思路,探索解决下面的问题:
如图3,点D是等腰直角三角形△ABC边上的点(点D不与B、C重合).求证:BD+DC>AD.
(2)如果点D运动到等腰直角三角形△ABC外或内时,BD、DC和AD之间又存在怎样的数量关系?直接写出结论.
创新应用:
(3)已知:如图4,等腰△ABC中,AB=AC,且∠BAC=α(α为钝角),D是等腰△ABC外一点,且∠BDC+∠BAC=180°,BD、DC与AD之间存在怎样的数量关系?写出你的猜想,并证明.
已知二次函数的部分图象如图所示,则一元二次方程的解为:_____.
一组数:1,-2,3,-4,5,-6,…99,-100,这100个数的和等于 .
如图,已知∠1=∠2,要说明△ABD≌△ACD还需从下列条件中选一个,错误选法是( )
A. ∠ADB=∠ADC B. ∠B=∠C C. DB=DC D. AB=AC