题目内容
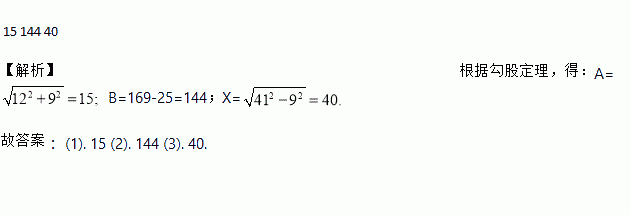
根据下图中的数据,确定A=_______,B=_______,x=_______.
若x<0,则的结果是 .
当m__________时,方程mx+1=3(x+2)的解是负数.
清朝康熙皇帝是我国历史上对数学很有兴趣的帝王近日,西安发现了他的数学专著,其中有一文《积求勾股法》,它对“三边长为3、4、5的整数倍的直角三角形,已知面积求边长”这一问题提出了解法:“若所设者为积数(面积),以积率六除之,平方开之得数,再以勾股弦各率乘之,即得勾股弦之数”.用现在的数学语言表述是:“若直角三角形的三边长分别为3、4、5的整数倍,设其面积为S,则第一步: =m;第二步: =k;第三步:分别用3、4、5乘以k,得三边长”.
(1)当面积S等于150时,请用康熙的“积求勾股法”求出这个直角三角形的三边长;
(2)你能证明“积求勾股法”的正确性吗?请写出证明过程.
在△ABC中,AB=8cm,BC=15cm,要使∠B=90°,则AC的长必为______cm.
如下图所示,要在离地面5米处引拉线固定电线杆,使拉线和地面成60°角,若要考虑既要符合设计要求,又要节省材料,则在库存的L1=5.2米,L2=6.2米,L3=7.8米,L4=10米四种备用拉线材料中,拉线AC最好选用( )
A. L1 B. L2 C. L3 D. L4
如图,一次“台风”过后,一根旗杆被台风从离地面2.8米处吹断裂,倒下的旗杆的顶端落在离旗杆底部9.6米处,那么这根旗杆被吹断裂前有多高?(旗杆粗细、断裂磨损忽略不计)
某数学兴趣小组研究我国古代《算法统宗》里这样一首诗:我问开店李三公,众客都来到店中,一房七客多七客,一房九客一房空.诗中后两句的意思是:如果每一间客房住7人,那么有7人无房可住;如果每一间客房住9人,那么就空出一间房.
(1)求该店有客房多少间?房客多少人?
(2)假设店主李三公将客房进行改造后,房间数大大增加.每间客房收费20钱,且每间客房最多入住4人,一次性定客房18间以上(含18间),房费按8折优惠.若诗中“众客”再次一起入住,他们如何订房更合算?
如果,则a的取值范围是( )
A. B. C. D.