题目内容
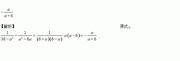
化简
的结果是_____
练习册系列答案
相关题目
试验题:请某班所有同学拿出课前准备好的一元硬币,各抛100次,填写下表,并回答问题.
抛掷次数 | 40 | 60 | 80 | 100 |
出现正面的频数 | ||||
出现正面的频率 |
(1)同桌的两同学比较一下试验的结果.对应的各阶段的频率相同吗?如果不同,把对应的各 阶段(指试验次数相同时)的频率差分别计算出来,观察频率差的绝对值与试验次数的增加之间有何关系;
(2)计算全班同学做此试验出现正面的频率,并将这个频率与每个人单独试验的频率进行比较,你认为哪个频率更趋于稳定?