题目内容
用一元一次方程解决问题:
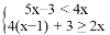
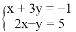
爸爸买了一箱苹果回家,小芳想分给家里的每一个人,如果每人分3个,就剩下3个苹果分不完,如果每人分4个,则还差2个苹果才够分,问小芳家有几个人?爸爸买了多少个苹果?
小刚与小明分别用两种设未知数的方法都解决了上述问题,请你将两种方法都详细的写出来.
练习册系列答案
相关题目
题目内容
用一元一次方程解决问题:
爸爸买了一箱苹果回家,小芳想分给家里的每一个人,如果每人分3个,就剩下3个苹果分不完,如果每人分4个,则还差2个苹果才够分,问小芳家有几个人?爸爸买了多少个苹果?
小刚与小明分别用两种设未知数的方法都解决了上述问题,请你将两种方法都详细的写出来.