ÌâÄ¿ÄÚÈÝ
×¢Ò⣺ΪÁËʹͬѧÃǸüºÃµØ½â´ð±¾Ì⣬ÏÂÃæÌṩÁËÒ»ÖÖ½âÌâ˼·£¬Äã¿ÉÒÔÒÀÕÕÕâ¸ö˼·£¬Íê³É±¾ÌâµÄ½â´ð¹ý³Ì£®Èç¹ûÄãÑ¡ÓÃÆäËûµÄ½âÌâ·½°¸½øÐнâ´ðÒ²¿É£®
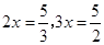
Èçͼ¢Ù£¬ÒªÉè¼ÆÒ»·ù¿í20cm£¬³¤30cmµÄ¾ØÐÎͼ°¸£¬ÆäÖÐÓÐÁ½ºáÁ½ÊúµÄ²ÊÌõ£¬ºá¡¢Êú²ÊÌõµÄ¿í¶È±ÈΪ2¡Ã3£¬Èç¹ûҪʹËùÓвÊÌõËùÕ¼Ãæ»ýΪԾØÐÎͼ°¸Ãæ»ýµÄÈý·ÖÖ®Ò»£¬Ó¦ÈçºÎÉè¼ÆÃ¿¸ö²ÊÌõµÄ¿í¶È£¿
·ÖÎö£ºÓɺᡢÊú²ÊÌõµÄ¿í¶È±ÈΪ2¡Ã3£¬¿ÉÉèÿ¸öºá²ÊÌõµÄ¿íΪ
£¬Ôòÿ¸öÊú²ÊÌõµÄ¿íΪ
£®Îª¸üºÃµØÑ°ÕÒÌâÄ¿ÖеĵÈÁ¿¹ØÏµ£¬½«ºá¡¢Êú²ÊÌõ·Ö±ð¼¯ÖУ¬ÔÎÊÌâת»¯ÎªÈçͼ¢ÚµÄÇé¿ö£¬µÃµ½¾ØÐÎ
£®½áºÏÒÔÉÏ·ÖÎöÁгö·½³Ì²¢Íê³É±¾Ìâ½â´ð£®![]()
½â£ºÃ¿¸öºá²ÊÌõµÄ¿íΪ
£¬Ôòÿ¸öÊú²ÊÌõµÄ¿íΪ
£®
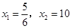
¸ù¾ÝÌâÒ⣬µÃ![]()
ÕûÀí£¬µÃ
. ½â·½³Ì£¬µÃ
£¨²»ºÏÌâÒ⣬ÉáÈ¥£©.
Ôò
£® ´ð£ºÃ¿¸öºá¡¢Êú²ÊÌõµÄ¿í¶È·Ö±ðΪ
cm£¬
cm.
½âÎö
Á·Ï°²áϵÁдð°¸
Ïà¹ØÌâÄ¿
×¢Ò⣺ΪÁËʹͬѧÃǸüºÃµØ½â´ð±¾Ì⣬ÎÒÃÇÌṩÁËÒ»ÖÖ½âÌâ˼·£¬Äã¿ÉÒÔÒÀÕÕÕâ¸ö˼·£¬Ìîд±í¸ñ£¬²¢Íê³É±¾Ìâ½â´ðµÄÈ«¹ý³Ì£®Èç¹ûÄãÑ¡ÓÃÆäËûµÄ½âÌâ·½°¸£¬´Ëʱ£¬²»±ØÌîд±í¸ñ£¬Ö»Ðè°´ÕÕ½â´ðÌâµÄÒ»°ãÒªÇ󣬽øÐнâ´ð¼´¿É£®
Ìì½òÊаÂÁÖÆ¥¿ËÖÐÐÄÌåÓý³¡--¡°Ë®µÎ¡±Î»ÓÚÌì½òÊÐÎ÷Äϲ¿µÄ°ÂÁÖÆ¥¿ËÖÐÐÄÄÚ£¬Ä³Ð£¾ÅÄ꼶ѧÉúÓɾࡰˮµÎ¡±10ǧÃ×µÄѧУ³ö·¢Ç°Íù²Î¹Û£¬Ò»²¿·ÖͬѧÆï×ÔÐгµÏÈ×ߣ¬¹ýÁË20·ÖÖÓºó£¬ÆäÓàͬѧ³ËÆû³µ³ö·¢£¬½á¹ûËûÃÇͬʱµ½´ï£®ÒÑÖªÆû³µµÄËÙ¶ÈÊÇÆï³µÍ¬Ñ§ËٶȵÄ2±¶£¬ÇóÆï³µÍ¬Ñ§µÄËÙ¶È£®
£¨¢ñ£©ÉèÆï³µÍ¬Ñ§µÄËÙ¶ÈΪxǧÃ×/ʱ£¬ÀûÓÃËÙ¶È¡¢Ê±¼ä¡¢Â·³ÌÖ®¼äµÄ¹ØÏµÌîдÏÂ±í£®£¨ÒªÇó£ºÌîÉÏÊʵ±µÄ´úÊýʽ£¬Íê³É±í¸ñ£©
£¨¢ò£©Áгö·½³Ì£¨×飩£¬²¢Çó³öÎÊÌâµÄ½â£®
Ìì½òÊаÂÁÖÆ¥¿ËÖÐÐÄÌåÓý³¡--¡°Ë®µÎ¡±Î»ÓÚÌì½òÊÐÎ÷Äϲ¿µÄ°ÂÁÖÆ¥¿ËÖÐÐÄÄÚ£¬Ä³Ð£¾ÅÄ꼶ѧÉúÓɾࡰˮµÎ¡±10ǧÃ×µÄѧУ³ö·¢Ç°Íù²Î¹Û£¬Ò»²¿·ÖͬѧÆï×ÔÐгµÏÈ×ߣ¬¹ýÁË20·ÖÖÓºó£¬ÆäÓàͬѧ³ËÆû³µ³ö·¢£¬½á¹ûËûÃÇͬʱµ½´ï£®ÒÑÖªÆû³µµÄËÙ¶ÈÊÇÆï³µÍ¬Ñ§ËٶȵÄ2±¶£¬ÇóÆï³µÍ¬Ñ§µÄËÙ¶È£®
£¨¢ñ£©ÉèÆï³µÍ¬Ñ§µÄËÙ¶ÈΪxǧÃ×/ʱ£¬ÀûÓÃËÙ¶È¡¢Ê±¼ä¡¢Â·³ÌÖ®¼äµÄ¹ØÏµÌîдÏÂ±í£®£¨ÒªÇó£ºÌîÉÏÊʵ±µÄ´úÊýʽ£¬Íê³É±í¸ñ£©
£¨¢ò£©Áгö·½³Ì£¨×飩£¬²¢Çó³öÎÊÌâµÄ½â£®
| ËÙ¶È£¨Ç§Ã×/ʱ£© | ËùÓÃʱ¼ä£¨Ê±£© | Ëù×ߵķ³Ì£¨Ç§Ã×£© | |
| Æï×ÔÐгµ | X | 10 | |
| ³ËÆû³µ | 10 |
×¢Ò⣺ΪÁËʹͬѧÃǸüºÃµØ½â´ð±¾Ì⣬ÎÒÃÇÌṩÁËÒ»ÖÖ½âÌâ˼·£¬Äã¿ÉÒÔÒÀÕÕÕâ¸ö˼·£¬Ìîд±í¸ñ£¬²¢Íê³É±¾Ìâ½â´ð¹ý³Ì£®Èç¹ûÄãÑ¡ÓÃÆäËüµÄ½âÌâ·½°¸£¬´Ëʱ£¬²»±ØÌîд±í¸ñ£¬Ö»Ðè°´ÕÕ½â´ðÌâµÄÒ»°ãÒªÇ󣬽øÐнâ´ð¼´¿É£®
Á½¸öС×éͬʱ¿ªÊ¼ÅʵÇÒ»×ù900Ã׸ߵÄɽ£¬µÚÒ»×éµÄÅÊÅÀËÙ¶ÈÊǵڶþ×éµÄ1.2±¶£¬µÚÒ»×é±ÈµÚ¶þ×éÔç15·ÖÖÓµ½´ï¶¥·å£®ÇóÁ½¸öС×éµÄÅÊÅÀËٶȸ÷ÊǶàÉÙ£¿
£¨¢ñ£©ÉèµÚ¶þ×éµÄÅÊÅÀËÙ¶ÈΪxÃ×/·Ö£¬ÀûÓÃËÙ¶È¡¢Ê±¼ä¡¢Â·³ÌÖ®¼äµÄ¹ØÏµÌîдÏÂ±í£®
£¨ÒªÇó£ºÌîÉÏÊʵ±µÄ´úÊýʽ£¬Íê³É±í¸ñ£©
£¨¢ò£©Áз½³Ì£¨×飩£¬²¢Çó³öÎÊÌâµÄ½â£®
Á½¸öС×éͬʱ¿ªÊ¼ÅʵÇÒ»×ù900Ã׸ߵÄɽ£¬µÚÒ»×éµÄÅÊÅÀËÙ¶ÈÊǵڶþ×éµÄ1.2±¶£¬µÚÒ»×é±ÈµÚ¶þ×éÔç15·ÖÖÓµ½´ï¶¥·å£®ÇóÁ½¸öС×éµÄÅÊÅÀËٶȸ÷ÊǶàÉÙ£¿
£¨¢ñ£©ÉèµÚ¶þ×éµÄÅÊÅÀËÙ¶ÈΪxÃ×/·Ö£¬ÀûÓÃËÙ¶È¡¢Ê±¼ä¡¢Â·³ÌÖ®¼äµÄ¹ØÏµÌîдÏÂ±í£®
£¨ÒªÇó£ºÌîÉÏÊʵ±µÄ´úÊýʽ£¬Íê³É±í¸ñ£©
| ËÙ¶È£¨Ã×/·Ö£© | ËùÓÃʱ¼ä£¨·Ö£© | ËùÅʵǵÄ·³Ì£¨Ã×£© | |
| µÚÒ»×é | 900 | ||
| µÚ¶þ×é | x | 900 |