题目内容
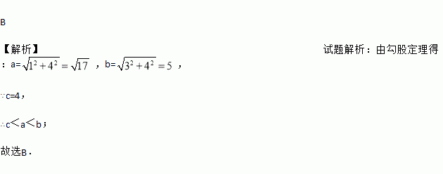
如图,在边长为1的正方形网格中,△ABC的三边a,b,c的大小关系是 ( )
A. c<b<a B. c<a<b C. a<c<b D. a<b<c
化简二次根式:(1) ________(2) _________(3) _________
在△ABC中,AB=8cm,BC=15cm,要使∠B=90°,则AC的长必为______cm.
如图,一次“台风”过后,一根旗杆被台风从离地面2.8米处吹断裂,倒下的旗杆的顶端落在离旗杆底部9.6米处,那么这根旗杆被吹断裂前有多高?(旗杆粗细、断裂磨损忽略不计)
一直角三角形的两直角边长分别为12、5,则斜边上的中线长是_______________ .
某数学兴趣小组研究我国古代《算法统宗》里这样一首诗:我问开店李三公,众客都来到店中,一房七客多七客,一房九客一房空.诗中后两句的意思是:如果每一间客房住7人,那么有7人无房可住;如果每一间客房住9人,那么就空出一间房.
(1)求该店有客房多少间?房客多少人?
(2)假设店主李三公将客房进行改造后,房间数大大增加.每间客房收费20钱,且每间客房最多入住4人,一次性定客房18间以上(含18间),房费按8折优惠.若诗中“众客”再次一起入住,他们如何订房更合算?
已知a,b是常数,若关于m,n的二元一次方程组的解是则关于x,y的二元一次方程组的解是____________.
如图,等腰△ABC的底边BC为16,底边上的高AD为6,则腰长AB的长为__.
如图18-2-9所示,在平面直角坐标系中,点A、B的坐标分别为A(3,1),B(2,4),△OAB是直角三角形吗?借助于网格,证明你的结论.