题目内容
如图所示的一块地, , , , , ,求这块地的面积__________.
小芳家门前有一个花圃,呈三角形状,小芳想知道该三角形是不是一个直角三角形,请问她可以用什么办法来作出判断?你能帮她设计一种方法吗?
如图,已知BD=CD,∠1=∠2;则△ABD≌△ACD,理由是:
___________(已知)
___________(公共边)
则△ABD≌△ACD(SAS)
操作与探索:
在图①~③中,△ABC的面积为a.
(1)如图①,延长△ABC的边BC到点D,使CD=BC,连接DA,若△ACD的面积为S1,则S1=________(用含a的式子表示);
(2)如图②,延长△ABC的边BC到点D,延长边CA到点E,使CD=BC,AE=CA,连接DE,若△DEC的面积为S2,则S2=________(用含a的式子表示),请说明理由;
(3)如图③,在图②的基础上延长AB到点F,使BF=AB,连接FD,FE,得到△DEF,若阴影部分的面积为S3,则S3=________(用含a的式子表示).
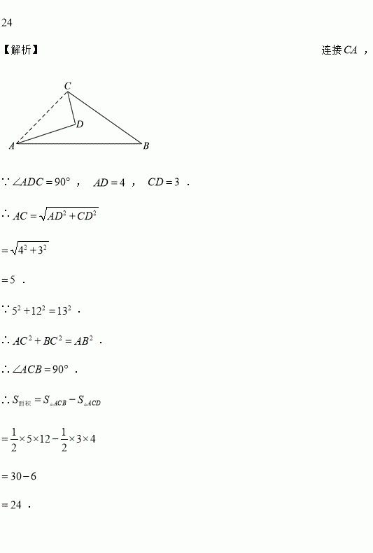
如图是一个零件的示意图,测量AB=4 cm,BC=3 cm,CD=12 cm,AD=13 cm,∠ABC=90°,根据这些条件,你能求出∠ACD的度数吗?试说明理由.
给出长度分别为7cm,15cm,20cm,24cm,25cm的五根木棒,分别取其中的三根首尾连接,最多可以搭成的直角三角形的个数为( )
A. 1个 B. 2个 C. 3个 D. 4个
用小立方块搭一个几何体,使它从正面、上面看到的形状图如图所示,从上面看到的形状图的小正方形中的字母表示在该位置小立方块的个数.试回答下列问题:
(1)a,b,c各表示几?
(2)这个几何体最少有几个小立方块搭成?最多呢?
(3)当d=e=1,f=2时,画出这个几何体从左面看到的形状图.
如图是某几何体的三视图,则该几何体的体积是( )
A. B. C. D.
(2016云南省曲靖市)小明所在城市的“阶梯水价”收费办法是:每户用水不超过5吨,每吨水费x元;超过5吨,每吨加收2元,小明家今年5月份用水9吨,共交水费为44元,根据题意列出关于x的方程正确的是( )
A. 5x+4(x+2)=44 B. 5x+4(x﹣2)=44 C. 9(x+2)=44 D. 9(x+2)﹣4×2=44