搜索
题目内容
.解一元二次方程:
.
试题答案
相关练习册答案
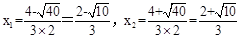
解:3
x
2
-4
x
-2=0
a
=3,
b
=-4,
c
=-2
△=
b
2
-4
ac
=(-4)
2
-4×3×(-2)=40>0
解析
练习册系列答案
中考对策全程复习方案系列答案
王朝霞中考真题精编系列答案
阅读旗舰文言文课内阅读系列答案
中考一线题系列答案
中考真题超详解系列答案
中考必刷题系列答案
新课程新练习系列答案
53随堂测系列答案
名校百分卷系列答案
波波熊语文题卡系列答案
相关题目
用配方法解一元二次方程:x
2
-2x-2=0.
用公式法解一元二次方程:5x
2
-3x=x+1.
用适当的方法解一元二次方程
(1)(x-2)
2
=(2x+3)
2
(2)x
2
-6x+8=0.
用配方法解一元二次方程x
2
-4x-6=0,变形正确的是( )
A.(x-2)
2
=0
B.(x-4)
2
=22
C.(x-2)
2
=10
D.(x-2)
2
=8
用配方法解一元二次方程-3x
2
+4x+1=0的第一步是把方程的两边同时除以
-3
-3
.
关 闭
试题分类
高中
数学
英语
物理
化学
生物
地理
初中
数学
英语
物理
化学
生物
地理
小学
数学
英语
其他
阅读理解答案
已回答习题
未回答习题
题目汇总
试卷汇总
练习册解析答案