题目内容
若是方程的一个解,则___________;
等腰三角形一腰上的高与另一腰的夹角为25°,则顶角的度数为( )
A. 65° B. 65°或115° C. 50° D. 50°或115°
计算:
对于有理数a,b,定义min的含义为:当a≥b时,min=b;当a<b时,min=a.
例如:min=-2,min=-3.
(1)min= ;
(2)求min{x2+1,0};
(3)已知min{-2k+5,-1}=-1,求k的取值范围;
(4)已知min{,5}=5,直接写出m,n的值.
已知方程组由于甲看错了方程①中的得到方程组的解为;乙看错了方程②中的得到方程组的解为,若按正确的计算,则原方程组的解为___________;
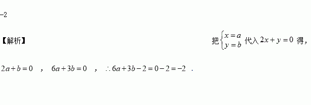
已知是二元一次方程组的解,则的值为( )
A. 3 B. 2 C. 1 D. -1
4的平方根是( )
A. 2 B. ± 2 C. 16 D. ±16
下列选项中正确的是( )
A.27的立方根是±3
B.的平方根是±4
C.9的算术平方根是3
D.立方根等于平方根的数是1
任意翻一下2016年的日历,翻出1月6日是______________事件,翻出4月31日是_____________事件.(填“确定”或“不确定”)