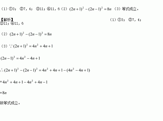
题目内容
请观察下列算式,再填空:
, ![]()
(1)①
_________; ②
__________;
③
; ④
__________;
(2)通过观察,用一般形式表示出上述规律。
(3)请你运用所学知识,验证上述规律。
练习册系列答案
相关题目
题目内容
请观察下列算式,再填空:
, ![]()
(1)①
_________; ②
__________;
③
; ④
__________;
(2)通过观察,用一般形式表示出上述规律。
(3)请你运用所学知识,验证上述规律。