题目内容
下列各式是最简二次根式的是( )
A. B. C. D.
如图,l1反映了某公司的销售收入与销售量的关系,l2反映了该公司产品的销售成本与销售量的关系,当该公司盈利(收入大于成本)时,销售量( )
A. 小于3t B. 大于3t C. 小于4t D. 大于4t
如图,将一个高度为12cm的锥形瓶放入一个空玻璃槽中,并向锥形瓶中匀速注水,若水槽的高度为10cm,则水槽中的水面高度y(cm)随注水时间x(s)的变化图象大致是( )
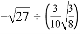
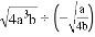
计算:(1); (2);(3); (4).
已知,,则a与b的关系为( ).
A. a=b B. ab=1 C. a=-b D. ab=-1
比较大小:(1) ______6 ; (2) _______; (3) ______.
的相反数是__________,-的绝对值是__________.
如图,已知在△ABC中,CD⊥AB于D,AC=20,BC=15,DB=9.
(1)求DC的长;
(2)求AB的长;
(3)求证:△ABC是直角三角形.