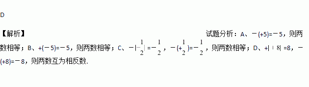
题目内容
下列各对数中,互为相反数的是( )
A. ﹣(+5)和﹣5 B. +(﹣5)和﹣5
C. ﹣和﹣(+) D. +|+8|和﹣(+8)
在0,1,﹣1,π四个数中,最小的实数是( )
A. ﹣1 B. π C. 0 D. 1
某公园一喷水池喷水时水流的路线呈抛物线(如图).若喷水时水流的高度y(m)与水平距离x(m)之间的函数关系式是y=﹣x2+2x+1.25,则水池在喷水过程中水流的最大高度为( )
A. 1.25米 B. 2.25米 C. 2.5米 D. 3米
的相反数、倒数、绝对值的和是______________。
计算的结果是( )
A. B. C. D.
方程17+15x=245,x-503=x+705 , 2(x+1.5x)=24都只含有一个未知数,未知数的指数都是1,它们是一元一次方程,方程x2+3=4,x2+2x+1=0,x+y=5是一元一次方程吗?若不是,它们各是几元几次方程?
已知x=﹣2是方程x2+mx﹣6=0的一个根,则方程的另一个根是 .
如图,△ABC中,AB=AC,∠A=36°,AC的垂直平分线交AB于E,D为垂足,连结EC.
(1)求∠ECD的度数;
(2)若CE=12,求BC长.
点P(5, )关于y轴对称点是( )
A. (5,4) B. (5, ) C. (4, ) D. (, )