题目内容
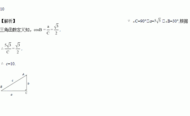
已知△ABC中,∠C=90°,a=,∠B=30°,则c=_____________.
由于木质衣架没有柔性,在挂置衣服的时候不太方便操作.小敏设计了一种衣架,在使用时能轻易收拢,然后套进衣服后松开即可.如图1,衣架杆OA=OB=18cm,若衣架收拢时,∠AOB=60°,如图2,则此时A,B两点之间的距离是____cm.
如图,将一副三角尺按不同的位置摆放,摆放方式中∠α与∠β互余的是( )
A. B. C. D.
如图,在折纸活动中,小明制作了一张△ABC纸片,点D,E分别在边AB,AC上,将△ABC沿着DE折叠压平,点A与A′重合.若∠A=75°,则∠1+∠2=( )
A. 210° B. 150° C. 105° D. 75°
如图,要测池塘A、B两端的距离,可以在平地上与AB垂直的直线BF上取一点C,使∠FCA=120°,并量得BC=20 m,求A,B两端的距离.(不取近似值)
若|-2sinα|+(tanβ-1)2=0,则锐角α=____________,β=______________.
如图28-1-1-7,某人从山脚下的点A沿着斜坡走了1 000米到达山顶B点,已知山顶到山脚的垂直距离为500米,求山坡的坡度.
两个大小不同的等腰直角三角形三角板如图1所示位置,图2是由它抽象出的几何图形,B、C、E在同一条直线上,连结DC.
(1)请找出图2中的全等三角形,并说明理由(说明:结论中不得有未标识的字母);
(2)判断DC⊥BE是否成立?说明理由.
以下说法合理的是( )
A. 小明在10次抛图钉的试验中发现3次钉尖朝上,由此他说钉尖朝上的概率是30%
B. 抛掷一枚普通的正六面体骰子,出现6的概率是的意思是每6次就有1次掷得6
C. 某彩票的中奖机会是2%,那么如果买100张彩票一定会有2张中奖。
D. 在一次课堂进行的试验中,甲、乙两组同学估计硬币落地后,正面朝上的概率分别为0.48和0.51。