题目内容
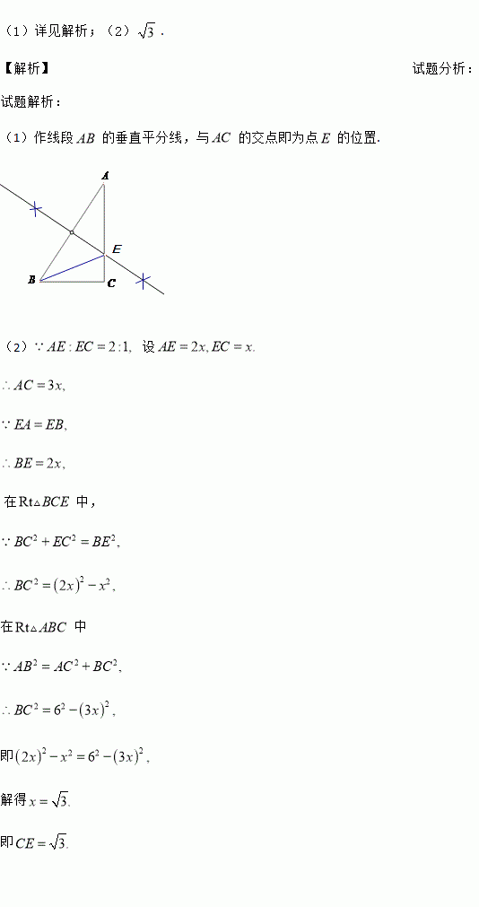
已知:如图,在△ABC中,∠C=90°.
(1)在AC上作一点E,使EA=EB;(保留作图痕迹,作图痕迹请加黑描重)
(2)在(1)的条件下,若AB=6,AE:EC=2∶1,求CE的长.
如图,⊙O的直径AB垂直于弦CD,垂足P是OB的中点,CD=6cm,求直径AB的长.
下列调查适合作抽样调查的是( )
A. 审核书稿中的错别字 B. 对某社区的卫生死角进行调查
C. 对八名同学的身高情况进行调查 D. 对中学生目前的睡眠情况进行调查
如图,在等腰直角三角形ABC中,∠C=90°,点D为AB的中点,分别以A,B为圆心,AB的一半为半径画弧,分别交AC,BC于点E,F,若AB=4,则图中阴影部分的面积为( )
A. B. C. D.
一元二次方程的二次项系数、一次项系数、常数项分别是( )
在如图所示的平面直角坐标系中,点P是直线y=x上的动点,A(1,0),B(3,0)是x轴上的两点,则PA+PB的最小值为
A. 3 B. C. D. 4
已知直线l1:y= x+4与y轴交于点A,直线l2经过点A,l1与 l2在A点相交所形成的夹角为45°(如图所示),则直线l2的函数表达式为 .
州教育局为了解我州八年级学生参加社会实践活动情况,随机抽查了某县部分八年级学生第一学期参加社会实践活动的天数,并用得到的数据检测了两幅统计图,下面给出了两幅不完整的统计图(如图)
请根据图中提供的信息,回答下列问题:
(1)a= %,并写出该扇形所对圆心角的度数为 ,请补全条形图.
(2)在这次抽样调查中,众数和中位数分别是多少?
(3)如果该县共有八年级学生2000人,请你估计“活动时间不少于7天”的学生人数大约有多少人?
如图,D、E分别是AB、AC上两点,CD与BE相交于点O,下列条件中不能使△ABE和△ACD相似的是( )
A. ∠B=∠C B. ∠ADC=∠AEB C. BE=CD,AB=AC D. AD:AC=AE:AB