搜索
题目内容
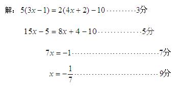
(9分)解方程
试题答案
相关练习册答案
解析
练习册系列答案
每日精练系列答案
天天成长好题真卷系列答案
上海名校名卷系列答案
金试卷一卷夺冠系列答案
迈向尖子生系列答案
课堂之翼系列答案
每周1考课课训系列答案
初中数学课堂导学案系列答案
考前辅导系列答案
练习册人民教育出版社系列答案
相关题目
17、解方程x
2
-|x|-2=0,
解:1.当x≥0时,原方程化为x
2
-x-2=0,解得:x
1
=2,x
2
=-1[不合题意,舍去].
2.当x<o时,原方程化为:x
2
+x-2=0,解得:x
1
=1,(不合题意,舍去)x
2
=-2.所以原方程的根为:x
1
=2,x
2
=-2
请参照例题解方程:x
2
-|x-1|-1=0
(1)解方程:4(x-1)=1-x
(2)解方程:
x+1
2
-
2-3x
3
=1
解方程:
x-
x-1
2
=
2
3
-
x+2
3
解:去分母,得6x-3x+1=4-2x+4…①
即-3x+1=-2x+8…②
移项,得-3x+2x=8-1…③
合并同类项,得-x=7…④
∴x=-7…⑤
上述解方程的过程中,是否有错误?答:
;如果有错误,则错在
步.如果上述解方程有错误,请你给出正确的解题过程.
计算与解方程:
(1)
3-x
2x-4
÷(x+2-
5
x-2
)
;
(2)
x
x-y
•
y
2
x+y
-
x
4
y
x
4
-
y
4
÷
x
2
x
2
+
y
2
;
(3)
5
2x+3
=
3
x-1
;
(4)
x
x+2
-
x+2
x-2
=
8
x
2
-4
.
计算下列各题:
(1)先化简再求值:
x
2
+x
x
÷(x+1)+
x
2
-x-2
x-2
,(其中x=-3).
(2)解方程
1
x+1
+
2
x-1
=
4
x
2
-1
.
关 闭
试题分类
高中
数学
英语
物理
化学
生物
地理
初中
数学
英语
物理
化学
生物
地理
小学
数学
英语
其他
阅读理解答案
已回答习题
未回答习题
题目汇总
试卷汇总
练习册解析答案