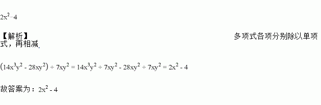
题目内容
计算:
___________
练习册系列答案
相关题目
某电器超市根据市场需求,计划采购A、B两种型号的电风扇共40台.该超市准备采购这两种电风扇的金额不少于9000元,但不超过9100元,且所采购的这两种电风扇可以全部销售完,现已知A、B两种型号的电风扇的进价和售价如下表:
型号 | A | B |
进价(元/台) | 200 | 250 |
售价(元/台) | 240 | 300 |
(1)该电器超市这两种型号的电风扇有哪几种采购方案?
(2)该电器超市如何采购能获得最大利润?
(3)据市场调查,每台A型电风扇的售价将会提高a万元(a>0),每台B型电风扇售价不会改变,该电器超市应该如何采购才可以获得最大利润?
(注:利润=售价-进价)