题目内容
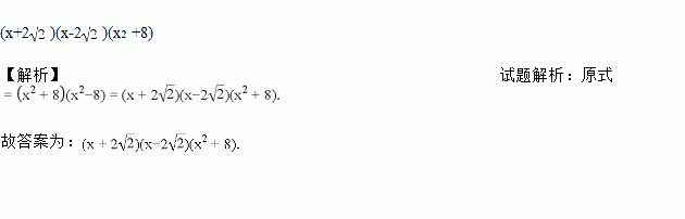
在实数范围内分解因式__________
设a>0,b>0,则下列运算错误的是( )
A. B. C. D.
已知+=0,求的值.
使代数式8有意义的的范围是( )
A. B. C. D. 不存在
如果+│b-2│=0,求以a、b为边长的等腰三角形的周长
下列各式中一定成立的是( )
A. =+=3+4=7 B. =-
C. (-)2= D. =1-=
下列命题中,错误的是( )
A. 如果=5,则x=5;
B. 若a(a≥0)为有理数,则是它的算术平方根
C. 化简的结果是-3
D. 在直角三角形中,若两条直角边分别是,2,那么斜边长为5
已知一个三角形的三边分别为3k,4k,5k(k为自然数),则这个三角形为______,理由是_______.
不等式的解集在数轴上表示为