题目内容

问题提出:我们在分析解决某些数学问题时,经常要比较两个数或代数式的大小,而解决问题的策略一般要进行一定的转化,其中“作差法”就是常用的方法之一,所谓“作差法”:就是通过作差、变形,并利用差的符号确定他们的大小,即要比较代数式M、N的大小,只要作出它们的差M-N,若M-N>0,则M>N;若M-N=0,则M=N;若M-N<0,则M<N。
问题解决:如图1,把边长为a+b(a≠b)的大正方形分割成两个边长分别是a、b的小正方形及两个矩形,试比较两个小正方形面积之和M与两个矩形面积之和N的大小。
解:由图可知:M=a2+b2,N=2ab,
∴M-N=a2+b2-2ab=(a-b)2
∵a≠b,
∴(a-b)2>0,
∴M-N>0,
∴M>N。
类别应用:
(1)已知小丽和小颖购买同一种商品的平均价格分别为元/千克和元/千克(a、b是正数,且a≠b),试比较小丽和小颖所购买商品的平均价格的高低。
(2)试比较图2和图3中两个矩形周长M1、N1的大小(b>c)。
联系拓广:小刚在超市里买了一些物品,用一个长方体的箱子“打包”,这个箱子的尺寸如图4所示(其中b>a>c>0),售货员分别可按图5、图6、图7三种方法进行捆绑,问哪种方法用绳最短?哪种方法用绳最长?请说明理由。
解:类别应用:(1)
∵a,b是正整数且a≠b,


∴小丽购买商品的平均价格比小颖的高;
(2)由图知,M1=2(a+b+b+c)=2a+4b+2c,
N1=2(a-c+b+3c)=2a+2b+4c,
M1-N1=(2a+4b+2c)-(2a+2b+4c)=2b-2c=2(b-c)
∵b>c,
∴M1-N1=2(b-c)>0,即M1>N1
所以第一个矩形的周长大于第二个矩形的周长;
联系拓广:设图5的捆绑绳长为,则=2a×2b+2×2+4c×2=4a+4b+8c
设图6的捆绑绳长为,则=2a×2+2b×2+2c×2=4a+4b+4c
设图7的捆绑绳长为,则=3a×2+2b×2+3c×2=6a+4b+6c
-=(4a+4b+8c)-(4a+4b+4c)=4c>0,

-=(6a+4b+6c)-(4a+4b+8c)=2a-2c>0,
=2(a-c)>0,(∵已知a>c)


所以第三种捆绑方法用绳最长,第二种最短。
练习册系列答案
相关题目


【问题提出】我们在分析解决某些数学问题时,经常要比较两个数或代数式的大小,而解决问题的策略一般要进行一定的转化,其中“作差法”就是常用的方法之一.所谓“作差法”:就是通过作差、变形,并利用差的符号确定他们的大小,即要比较代数式M、N的大小,只要作出它们的差M-N,若M-N>0,则M>N;若M-N=0,则M=N;若M-N<0,则M<N.
【问题解决】如图1,把边长为a+b(a≠b)的大正方形分割成两个边长分别是a、b的小正方形及两个矩形,试比较两个小正方形面积之和M与两个矩形面积之和N的大小.

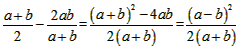
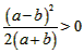
解:由图可知:

∵a≠b,∴>0.
∴M-N>0.∴M>N.
【类比应用】(1)已知:多项式M =2a2-a+1 ,N =a2-2a .
试比较M与N的大小.
(2)已知:如图2,锐角△ABC (其中BC为a ,AC为 b,
AB为c)三边满足a <b < c ,现将△ABC 补成长方形,
使得△ABC的两个顶点为长方形的两个端点,第三个顶点落
在长方形的这一边的对边上。
 
①这样的长方形可以画     个;
②所画的长方形中哪个周长最小?为什么?
【拓展延伸】 已知:如图,锐角△ABC (其中BC为a,AC为b,AB为c)三边满足a <b < c ,画其BC边上的内接正方形EFGH , 使E、F两点在边BC上,G、H分别在边AC、AB上,同样还可画AC、AB边上的内接正方形,问哪条边上的内接正方形面积最大?为什么?

【问题提出】我们在分析解决某些数学问题时,经常要比较两个数或代数式的大小,而解决问题的策略一般要进行一定的转化,其中“作差法”就是常用的方法之一.所谓“作差法”:就是通过作差、变形,并利用差的符号确定他们的大小,即要比较代数式M、N的大小,只要作出它们的差M-N,若M-N>0,则M>N;若M-N=0,则M=N;若M-N<0,则M<N.

【问题解决】如图1,把边长为a+b(a≠b)的大正方形分割成两个边长分别是a、b的小正方形及两个矩形,试比较两个小正方形面积之和M与两个矩形面积之和N的大小.

解:由图可知:

∵a≠b,∴>0.

∴M-N>0.∴M>N.

【类比应用】(1)已知:多项式M =2a2-a+1 ,N =a2-2a .

试比较M与N的大小.

(2)已知:如图2,锐角△ABC (其中BC为a ,AC为 b,

AB为c)三边满足a <b < c ,现将△ABC 补成长方形,

使得△ABC的两个顶点为长方形的两个端点,第三个顶点落

在长方形的这一边的对边上。

 

①这样的长方形可以画     个;

②所画的长方形中哪个周长最小?为什么?

【拓展延伸】 已知:如图,锐角△ABC (其中BC为a,AC为b,AB为c)三边满足a <b < c ,画其BC边上的内接正方形EFGH , 使E、F两点在边BC上,G、H分别在边AC、AB上,同样还可画AC、AB边上的内接正方形,问哪条边上的内接正方形面积最大?为什么?

 

违法和不良信息举报电话:027-86699610 举报邮箱:58377363@163.com

精英家教网