题目内容
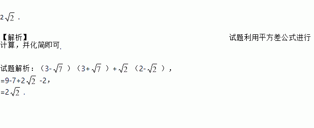
计算:(3-)(3+)+ (2-).
如图,在△ABC中,AB=AD=DC,∠B=70°,则∠C的度数为( )
A. 35° B. 40° C. 45° D. 50°
如图,身高为1.6 m的吴格霆想测量学校旗杆的高度,当她站在C处时,她头顶端的影子正好与旗杆顶端的影子重合,并测得AC=2.0 m,BC=8.0 m,则旗杆的高度是( )
A. 6.4 m B. 7.0 m C. 8.0 m D. 9.0 m
如图,在?ABCD中,E、F分别是AD、CD边上的点,连接BE、AF,它们相交于点G,延长BE交CD的延长线于点H,下列结论错误的是
A. B. C. D.
下列运算正确的是( )
A. B.
C. D.
若两个连续整数x,y满足x<+1<y,则x+y的值是________.
当1<a<2时,代数式+|1-a|的值是( )
A. -1 B. 1 C. 2a-3 D. 3-2a
某水库的水位在5小时内持续上涨,初始的水位高度为6米,水位以每小时0.3米的速度匀速上升,则水库的水位高度y米与时间x小时(0≦x≦5)的函数关系式为___
已知a、b、c是△ABC的三边长,且方程a(1+x2)+2bx﹣c(1﹣x2)=0的两根相等,则△ABC为( )
A. 等腰三角形 B. 直角三角形 C. 等边三角形 D. 任意三角形