题目内容
(1)大于15?
(2)大于16?若能,请在图中标出来,若不能,请说明理由.
分析:(1)可以分别设这六个数为a,b,c,d,e,f然后将其三个数相加,根据题中给出的条件可知,这把各数的和判断即可得出结论.
(2)根据上题的出的结论直接判断即可解答.
(2)根据上题的出的结论直接判断即可解答.
解答:
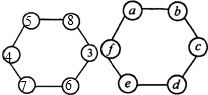
解:(1)能,如图.6个点的顺序分别为8-3-6-7-4-5.任意三个相邻顶点处的和分别为17-16-17-16-17-16.满足均大于15,
(2)但不满足均大于16.
如图,设按要求所填的六个数顺次为a、b、c、d、e、f.它们任意相邻三数和大于16,
即大于或等于17.所以a+b+f≥17,b+c+d≥17,c+d+e≥17,d+e+f≥17,e+f+a≥17,f+a+b≥17.
则每个不等式左边相加一定大于或等于102,即3(a+b+c+d+e+f)≥102
故(a+b+c+d+e+f)≥34.而1+2+3+4+5+6=33,所以不能使每三个相邻的数之和都大于16.
(2)但不满足均大于16.
如图,设按要求所填的六个数顺次为a、b、c、d、e、f.它们任意相邻三数和大于16,
即大于或等于17.所以a+b+f≥17,b+c+d≥17,c+d+e≥17,d+e+f≥17,e+f+a≥17,f+a+b≥17.
则每个不等式左边相加一定大于或等于102,即3(a+b+c+d+e+f)≥102
故(a+b+c+d+e+f)≥34.而1+2+3+4+5+6=33,所以不能使每三个相邻的数之和都大于16.
点评:此题主要考查了整数问题的综合应用,分别得出相邻数据之和规律是解题关键.
练习册系列答案
相关题目