题目内容
已知一个正比例函数和一个一次函数,它们的图象都经过点P(-3,3),且一次函数的图象与y轴相交于Q(0,-2),求这两个函数的解析式.
解:设正比例函数的解析式为y=kx,一次函数的解析式为y=k1x+b,
∵正比例函数的图象过点P(-3,3)
∴-3k=3,
∴k= -1.
∴正比例函数的解析式为y= -x.
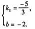
∵一次函数的图象过P(-3,3),Q(0,-2),
∴![]()
∴![]()
∴一次函数的解析式为y=
x-2
练习册系列答案
相关题目
题目内容
解:设正比例函数的解析式为y=kx,一次函数的解析式为y=k1x+b,
∵正比例函数的图象过点P(-3,3)
∴-3k=3,
∴k= -1.
∴正比例函数的解析式为y= -x.
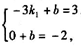
∵一次函数的图象过P(-3,3),Q(0,-2),
∴![]()
∴![]()
∴一次函数的解析式为y=
x-2