题目内容
如图,王华晚上由路灯A下的B处走到C处时,测得影子CD的长为1米,继续往前走3米到达E处时,测得影子EF的长为2米,已知王华的身高是1.5米,那么路灯A的高度AB等于如图,王华晚上由路灯A下的B处走到C处时,测得影子CD的长为1米,继续往前走3米到达E处时,测得影子EF的长为2米,已知王华的身高是1.5米,那么路灯A的高度AB等于( )A.4.5米
B.6米
C.7.2米
D.8米
【答案】分析:由于人和地面是垂直的,即和路灯到地面的垂线平行,构成两组相似.根据对应边成比例,列方程解答即可.
解答:
解:如图,GC⊥BC,AB⊥BC,
∴GC∥AB,
∴△GCD∽△ABD(两个角对应相等的两个三角形相似),
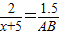
∴
,
设BC=x,则
,
同理,得
,
∴
,
∴x=3,
∴
,
∴AB=6.
故选B.
点评:本题考查相似三角形性质的应用.在解答相似三角形的有关问题时,遇到有公共边的两对相似三角形,往往会用到中介比,它是解题的桥梁,如该题中的“
”.
解答:
∴GC∥AB,
∴△GCD∽△ABD(两个角对应相等的两个三角形相似),
∴
设BC=x,则
同理,得
∴
∴x=3,
∴
∴AB=6.
故选B.
点评:本题考查相似三角形性质的应用.在解答相似三角形的有关问题时,遇到有公共边的两对相似三角形,往往会用到中介比,它是解题的桥梁,如该题中的“
练习册系列答案
相关题目