题目内容

对于任意的有理数a,b,c,d,我们规定。如:=(-2)×5-(-4)×3=2。据这一规定,解下列问题:
(1)化简
(2)若x,y同时满足=-2,=8,求x,y的值。
解:(1)原式=(x+3y)(2x+y)-2x·3y=2x2+xy+3y2
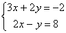
(2)根据题意,满足=-2,可化为3x+2y=-2;
=8,可化为2x-y=8;
即可得
解得
练习册系列答案
相关题目

违法和不良信息举报电话:027-86699610 举报邮箱:58377363@163.com

精英家教网