题目内容
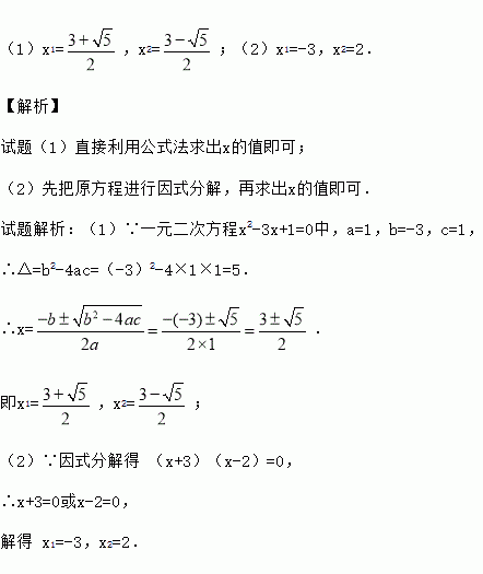
解方程:
(1)x2-3x+1=0;
(2)x(x+3)-(2x+6)=0.
一次函数y=kx﹣1的图象经过点P,且y的值随x值的增大而增大,则点P的坐标可以为( )
A. (﹣5,3) B. (1,﹣3) C. (2,2) D. (5,﹣1)
为奖励消防演练活动中表现优异的同学,某校决定用1200元购买篮球和排球,其中篮球每个120元,排球每个90元,在购买资金恰好用尽的情况下,购买方案有( )
A. 4种 B. 3种 C. 2种 D. 1种
在函数y=中,自变量x的取值范围是_______.
如图,已知?ABCD,对角线AC,BD相交于点O,∠OBC=∠OCB.
(1)求证:?ABCD是矩形;
(2)请添加一个条件使矩形ABCD成为正方形.
如图,每个小正方形的边长都为1,则△ABC的三边长a、b、c的大小关系是_____.
(2017上海市)已知平行四边形ABCD,AC、BD是它的两条对角线,那么下列条件中,能判断这个平行四边形为矩形的是( )
A. ∠BAC=∠DCA B. ∠BAC=∠DAC C. ∠BAC=∠ABD D. ∠BAC=∠ADB
商家花费760元购进某种水果80千克,销售中有5%的水果正常损耗,为了避免亏本,售价至少应定为 元/千克.
化简求值:(a+b)(2a-2b)-2(a+2b)²,其中a=2,b=-1.