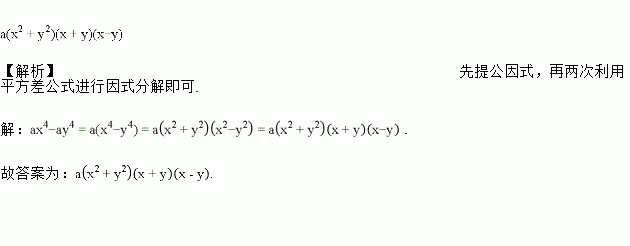
题目内容
因式分解_______。
如图,在平面直角坐标系中,点A,B分别在y轴和x轴上,∠ABO=60°,在坐标轴上找一点P,使得△PAB是等腰三角形,则符合条件的点P共有( )
A. 3个 B. 4个 C. 5个 D. 6个
已知a,b,c为三角形的三边,则=_________.
二次根式的值是( )
A. B. C. D. 0
先化简,再求值.,其中.
分式方程的解是( )
A. x=1 B. x=﹣1+ C. x=2 D. 无解
下列计算正确的是( )
A. B.
C. D.
如图所示,,若,则( )
A. B. C. D.
学校召集留守儿童过端午节,桌上摆有甲、乙两盘粽子,每盘中盛有白粽2个,豆沙粽1个,肉粽1个(粽子外观完全一样).
(1)小明从甲盘中任取一个粽子,取到豆沙粽的概率是 ;
(2)小明在甲盘和乙盘中先后各取了一个粽子,请用树状图或列表法求小明恰好取到两个白粽子的概率.