题目内容
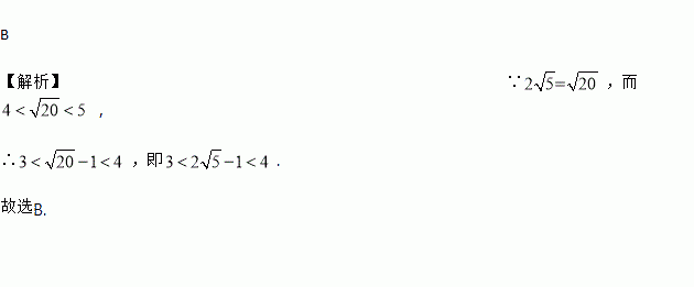
估计2﹣1的值应在( )
A. 2和3之间 B. 3和4之间 C. 4和5之间 D. 5和6之间
如图所示,某战役缴获敌人防御工事坐标地图碎片,依稀可见:一号暗堡的坐标为(4,2),四号暗堡的坐标为(-2,2)。另有情报得知:指挥部坐标为(0,0),你认为敌军指挥部的位置大约是( )
A. A处 B. B处 C. C处 D. D处
如果=0,那么xy的值为_____.
对于实数a,我们规定:用符号表示不大于的最大整数,称为a的根整数,例如: , .
(1)仿照以上方法计算: = ; = .
(2)若=1,写出满足题意的x的整数值 .
如果我们对a连续求根整数,直到结果为1为止.例如:对10连续求根整数2次 ,这时候结果为1.
(3)对100连续求根整数, 次之后结果为1.
(4)只需进行3次连续求根整数运算后结果为1的所有正整数中,最大的是 .
如图,AB∥CD,则图中α,β,γ三者之间的关系是( )
A. α+β+γ=180° B. α–β+γ=180° C. α+β–γ=180° D. α+β+γ=360°
如图,已知AB∥CD,试再添上一个条件使∠1=∠2成立(要求给出两个以上答案)并选择其中一种情况加以证明.
如图,在平面直角坐标系中,已知点A(1,1),B(﹣1,1),C(﹣1,﹣2),D(1,﹣2),把一根长为2015个单位长度且没有弹性的细线(线的粗细忽略不计)的一端固定在A处,并按A→B→C→D→A…的规律紧绕在四边形ABCD的边上,则细线的另一端所在位置的点的坐标是__.
下列各组数中,互为相反数的组是( )
A. -2与 B. -2和 C. -与2 D. ︱-2︱和2
如图,五边形ABCDE是一块草地.小明从点S出发,沿着这个五边形的边步行一周,最后仍回到起点S处,小明在各拐弯处转过的角度之和是_____o.