题目内容
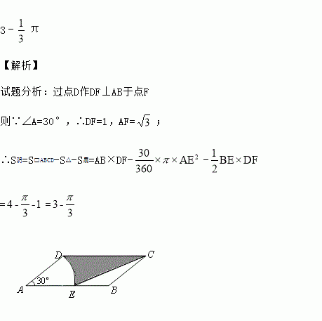
如图,在□ABCD中,AD=2,AB=4,∠A=30°,以点A为圆心,AD的长为半径画弧交AB于点E,连接CE,则阴影部分的面积是_________(结果保留π).
下列实数中,无理数有( )
A. 1个 B. 2个 C. 3个 D. 4个
已知A(0,-6),B(-3,0),C(m,2)三点在同一直线上,试求出图象经过其中一点的反比例函数的解析式,并在图中画出其图象.(要求标出必要的点,可不写画法)
如图,点B、C、D都在⊙O上,过点C作AC∥BD交OB延长线于点A,连接CD,且∠CDB=∠OBD=30°,DB=cm.
(1)求证:AC是⊙O的切线;
(2)求由弦CD、BD与弧BC所围成的阴影部分的面积.(结果保留π)
如图,⊙O的半径为3cm,B为⊙O外一点,OB交⊙O于点A,AB=OA,动点P从点A出发,以πcm/s的速度在⊙O上按逆时针方向运动一周回到点A立即停止.当点P运动的时间为____________s时,BP与⊙O相切.
如图,圆O与正方形ABCD的两边AB、AD相切,且DE与圆O相切于E点.若圆O的半径为5,且AB=11,则DE的长度为何?( ).
A.5 B.6 C. D.
已知x=﹣1,y=+1,求的值.
下列计算中,正确的是( )
A. B. C. D.
如图,已知一次函数y=-x+b与反比例函数y=的图象有2个公共点,则b的取值范围是( )
A. b>2 B. -2<b<2 C. b>2或b<-2 D. b<-2