题目内容
关于x的方程(1)求实数k的取值范围;
(2)是否存在实数k,使方程的两个实数根之和等于两实数根之积的算术平方根?若存在,求出k的值;若不存在,说明理由.
【答案】分析:(1)由于关于x的方程
有两个不相等的实数根,那么它的判别式△应该是大于0,由此可以建立关于k的不等式,解不等式即可求出实数k的取值范围;
(2)首先利用根与系数的关系求出两根之和和两根之积,然后利用:方程的两个实数根之和等于两实数根之积的算术平方根,即可列出关于k的方程,解方程即可求出k的值,再判断是否在(1)求出的k的范围内即可.
解答:解:(1)依题意得
,
∴k>-1,
又∵k≠0,
∴k的取值范围是k>-1且k≠0;
(2)解:不存在符合条件的实数k,使方程的两个实数根之和等于两实数根之积的算术平方根,
理由是:设方程
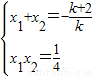
的两根分别为x1,x2,
由根与系数的关系有:
,
∵方程的两个实数根之和等于两实数根之积的算术平方根,
∴
,
∴
,
由(1)知,k>-1,且k≠0,
∴k=-
舍去,
因此不存在符合条件的实数k,使方程的两个实数根之和等于两实数根之积的算术平方根.
点评:本题重点考查了一元二次方程根的判别式和根与系数的关系,是一个综合性的题目,也是一个难度中等的题目.
(2)首先利用根与系数的关系求出两根之和和两根之积,然后利用:方程的两个实数根之和等于两实数根之积的算术平方根,即可列出关于k的方程,解方程即可求出k的值,再判断是否在(1)求出的k的范围内即可.
解答:解:(1)依题意得
∴k>-1,
又∵k≠0,
∴k的取值范围是k>-1且k≠0;
(2)解:不存在符合条件的实数k,使方程的两个实数根之和等于两实数根之积的算术平方根,
理由是:设方程
由根与系数的关系有:
∵方程的两个实数根之和等于两实数根之积的算术平方根,
∴
∴
由(1)知,k>-1,且k≠0,
∴k=-
因此不存在符合条件的实数k,使方程的两个实数根之和等于两实数根之积的算术平方根.
点评:本题重点考查了一元二次方程根的判别式和根与系数的关系,是一个综合性的题目,也是一个难度中等的题目.
练习册系列答案
相关题目