题目内容
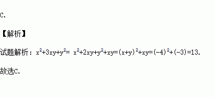
已知x=-3,x+y=-4,则x2+3xy+y2值为
A、1 B、7 C、13 D、31
为了了解某县八年级学生的体重情况,从中抽取了200名学生进行体重测试 .在这个问题中,下列说法错误的是( )
A.200名学生的体重是总体
B.200名学生的体重是一个样本
C.每个学生的体重是一个样本
D.全县八年级学生的体重是总体。
因式分【解析】x3-9x= .
计算:
(1)
(2)(x2y+3)(x2y-3)
(3)(3mn+1)(3mn-1)-8m2n2
(4)(x+3y-2)(x-3y-2)
计算:(4×105)(5×104)= 。
下列算式能用平方差公式计算的是
A、(-m-n)(-m+n)
B、
C、(3x-y)(-3x+y)
D、(2a+b)(2b-a)
已知关于x的方程x2﹣(2k﹣3)x+k2+1=0.
(1)当k为何值时,此方程有实数根;
(2)若此方程的两个实数根x1、x2满足|x1|+|x2|=3,求k的值.
一轮船从A地到B地需7天,而从B地到A地只需5天,则一竹排从B地漂到A地需要的天数是( )
A.12 B.35 C.24 D.47
若一个正数的平方根是2a﹣1和﹣a+2,则这个正数是 .