题目内容
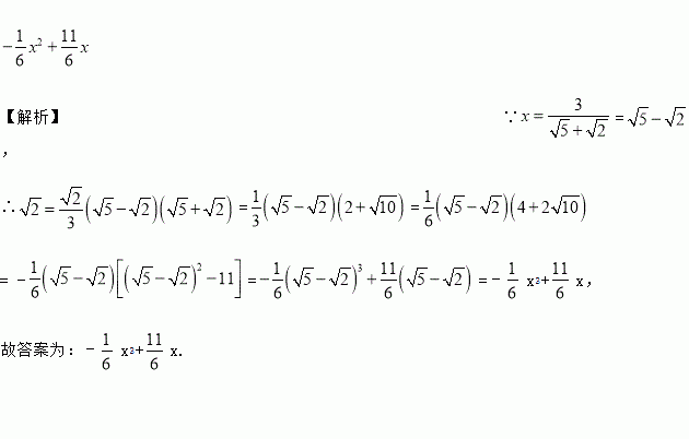
已知:x=,则可用含x的有理系数三次多项式来表示为: =_____.
在0、﹣3、1、4这四个数中,最小的数是( )
A. 0 B. ﹣3 C. 1 D. 4
对于任何实数a,可用[a]表示不超过a的最大整数,如[4]=4,[]=1.现对72进行如下操作:72 []=8 []=2 []=1,类似地,只需进行3次操作后变为1的所有正整数中,最大的是________.
在?ABCD中,E是AD上一点,AE=AB,过点E作直线EF,在EF上取一点G,使得∠EGB=∠EAB,连接AG.
(1)如图1,当EF与AB相交时,若∠EAB=60°,求证:EG=AG+BG;
(2)如图2,当EF与AB相交时,若∠EAB=α(0°<α<90°),请你直接写出线段EG、AG、BG之间的数量关系(用含α的式子表示);
(3)如图3,当EF与CD相交时,且∠EAB=90°,请你写出线段EG、AG、BG之间的数量关系,并证明你的结论.
如图,把一个边长为1的正方形经过三次对折后沿中位线(虚线)剪开,则下图展开得到的图形的面积为_____.
已知25x=2000,80y=2000,则等于( )
A. 2 B. 1 C. D.
如图,已知∠A=∠1,∠C=∠D.试说明FD∥BC.
如图,已知D是△ABC的边AB上一点,CE∥AB,DE交AC于点O,且OA=OC,猜想线段CD与线段AE的大小关系和位置关系,并加以证明.
将, , 用不等号连接起来为( )
A. << B. << C. << D. <<