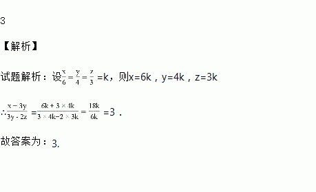
题目内容
已知
(x、y、z均不为零),则
_____________.
练习册系列答案
相关题目
在七年级数学《谁转出的“四位数”大》一节课中,小明和小新分别转动标有“0﹣9”十个数字的转盘四次,每次将转出的数填入表示四位数的四个方格中的任意一个,比较两人得到的四位数,谁大谁获胜.已知他们四次转出的数字如下表:
第一次 | 第二次 | 第三次 | 第四次 | |
小明 | 9 | 0 | 7 | 3 |
小新 | 0 | 5 | 9 | 2 |
(1)小明和小新转出的四位数最大分别是多少?
(2)小明可能得到的四位数中“千位数字是9”的有哪几个?小新呢?
(3)小明一定能获胜吗?请说明理由.