题目内容
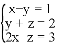
解下列方程组
① ②.
如图,已知,AB∥CD∥EF,∠E=140°,∠A=115°,则∠ACE=______度.
在同一平面内的三条直线,如果要使其中两条且只有两条平行,那么它们( )
A. 有三个交点 B. 只有一个交点
C. 有两个交点 D. 没有交点
规定以下两种变换:①f(m,n)=(m,﹣n),如f(2,1)=(2,﹣1);②g(m,n)=(﹣m,﹣n),如g(2,1)=(﹣2,﹣1)。按照以上变换有:f[g(3,4)]=f(﹣3,﹣4)=(﹣3,4),那么g[f(﹣2,3)]等于( )
A. (﹣2,﹣3) B. (2,﹣3) C. (﹣2,3) D. (2,3)
在平面直角坐标系中,将点(2,3)向上平移1个单位,再向左平移2个单位,所得到的点的坐标是( )
A. (-2,3) B. (-1,2) C. (0,4) D. (4,4)
三元一次方程组的解是______.
若关于的二元一次方程组 的解都为正整数,则________
先化简,再求代数式的值,其中
已知实数、,若,则下列结论错误的是( )
A. B. C. D.