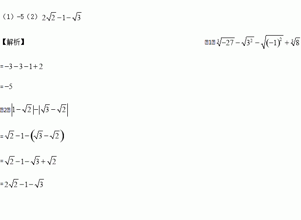
题目内容
计算
(1)
(2)
已知△ABC的边AB=3,AC=5,那么边BC上的中线AD的范围为___.
如图,在△ABC中,BD、CE分别是边AC、AB上的中线,BD与CE相交于点O,点M、N分别是OB、OC的中点.
(1)求证:EN与DM互相平分;
(2)若AB=AC,判断四边形DEMN的形状,并说明理由.
下列各组线段能构成直角三角形的一组是( )
A. 2,3,4 B. 6,8,11 C. 1,1, D. 5,12,23
对于有理数a,b,定义min的含义为:当a≥b时,min=b;当a<b时,min=a.
例如:min=-2,min=-3.
(1)min= ;
(2)求min{x2+1,0};
(3)已知min{-2k+5,-1}=-1,求k的取值范围;
(4)已知min{,5}=5,直接写出m,n的值.
如图,若∠1=∠D=39°,∠C=51°,则∠B=___________°;
已知是二元一次方程组的解,则的值为( )
A. 3 B. 2 C. 1 D. -1
统计得到一组数据,最大值是136,最小值是52,取组距为10,可以分成__________组。
作图题(尺规作图,不写作法,保留作图痕迹)
“西气东输”是造福子孙后代的创世纪工程.现有两条高速公路和A、B两个城镇(如图),准备建立一个燃气中心站P,使中心站到两条公路距离相等,并且到两个城镇距离相等,请你画出中心站位置.