搜索
题目内容
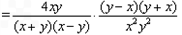
先化简:
,当
时,求代数式的值。
试题答案
相关练习册答案
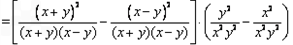
解:原式
把
代入得:原式
。
练习册系列答案
暑假作业内蒙古少年儿童出版社系列答案
暑假作业兰州大学出版社系列答案
暑假作业华中科技大学出版社系列答案
新课程寒暑假练习丛书暑假园地中国地图出版社系列答案
高效A计划期末寒假衔接中南大学出版社系列答案
智乐文化暑假作业期末综合复习东南大学出版社系列答案
智趣暑假作业云南科技出版社系列答案
少年智力开发报期末复习暑假作业系列答案
金象教育U计划学期系统复习暑假作业系列答案
八斗才火线计划暑假西安交通大学出版社系列答案
相关题目
(8分)先化简:
,当
时,再从-2<
<2的范围内选取一个合适的整数
代入求值.
(8分)先化简:
,当
时,再从-2<
<2的范围内选取一个合适的整数
代入求值.
先化简:
,当
时,再从-2<
<2的范围内选取一个合适的整数
代入求值.
先化简:
,当
时,再从-2<
<2的范围内选取一个合适的整数
代入求值.
(8分)先化简:
,当
时,再从-2<
<2的范围内选取一个合适的整数
代入求值.
关 闭
试题分类
高中
数学
英语
物理
化学
生物
地理
初中
数学
英语
物理
化学
生物
地理
小学
数学
英语
其他
阅读理解答案
已回答习题
未回答习题
题目汇总
试卷汇总
练习册解析答案