题目内容
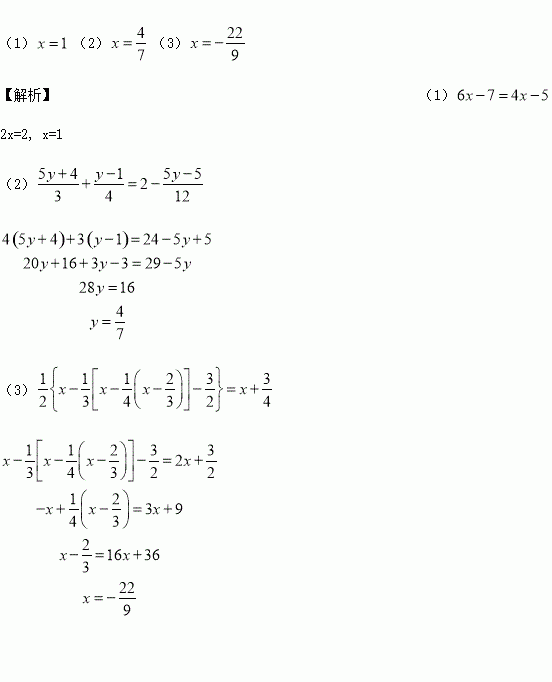
解方程
(1)
(2)
(3)
在数轴上,表示-1的点与表示3的点之间距离__________个单位长度.
在边长为1的小正方形网格中,△AOB的顶点均在格点上.
(1)B点关于y轴的对称点坐标为 ;
(2)将△AOB向左平移3个单位长度得到△A1O1B1,请画出△A1O1B1;
(3)在(2)的条件下,A1的坐标为 .
下列函数(1)y=3πx;(2)y=8x-6;(3)y=;(4)y=-8x;(5)y=5x2-4x+1中,是一次函数的有( )
A. 4个 B. 3个 C. 2个 D. 1个
以下列长度(单位:cm)为边长的三角形是直角三角形的是( )
A. 5,6,7 B. 7,8,9 C. 6,8,10 D. 5,7,9
如 图 ,M、N、P、R 分别是数轴上四个整数所对应的点,其中有一点是原点,并且 MN=NP=PR=1.数 a 对应的点在 M 与 N 之间,数 b 对应的点在 P 与 R 之间,若|a|+|b|=3,则原点是_________(M、N、P、R中选)
估计的运算结果应在( )
A. 6与7之间 B. 7与8之间 C. 8与9之间 D. 9与10之间
计算:
(1);
(2);
(3);
(4).
下面各组线段中,能组成三角形的是( )
A.5,11,6 B.8,8,16 C.10,5,4 D.6,9,14