题目内容
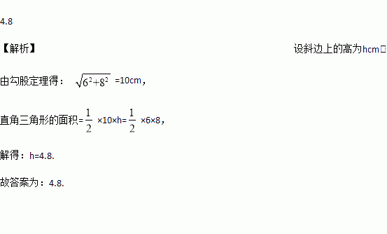
已知直角三角形的两直角边长分别为6cm和8cm,则斜边上的高为________cm.
如图,在以O为圆心的两个同心圆中,大圆的弦AB与小圆相切于点C,若大圆的半径为5 cm,小圆的半径为3 cm,则弦AB的长为_______cm.
某班一次数学竞赛共出了20道题,现抽出了4份试卷进行分析如下表:
(1)问答对一题得多少分,不答或答错一题扣多少分?
(2)一位同学说他得了65分,请问可能吗?请说明理由。
试卷 答对题数 不答或答错题数 得分
A 19 1 94
B 18 2 88
C 17 3 82
D 10 10 40
单项式2amb1﹣2n与a3b9的和是单项式,则(m+n)2017=( )
A. 1 B. ﹣1 C. 0 D. 0或1
如图,有一个直角三角形纸片,两直角边AC=6cm,BC=8cm,现将直角边AC沿∠CAB的角平分线AD折叠,使它落在斜边AB上,且与AE重合,你能求出CD的长吗?
点P(2,a-3)在第四象限,则a的取值范围是 .
估计的大小应在( ).
A. 5~6之间 B. 6~7之间 C. 8~9之间 D. 7~8之间
在△ABC中,∠A=72°,若O为内心,则∠BOC=_____°.
如图,在△ABC中,∠C=90°, AD是∠BAC的平分线,O是AB上一点, 以OA为半径的⊙O经过点D.
(1)求证:BC是⊙O切线;
(2)若BD=5,DC=3,求AC的长.