题目内容
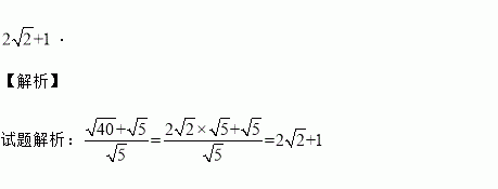
计算:=________.
请写出一个大于8而小于10的无理数:____.
当x是怎样的实数时,下列各式在实数范围内有意义?
(1) ;
(2)
(3)
(4)
计算: ﹣sin60°+ .
计算:﹣32÷×+|﹣3|
把进行化简,得到的最简结果是 (结果保留根号).
下列计算正确的是( )
A. += B. ÷=2 C. D. (﹣1)2=2
的算术平方根是( )
A. ±4 B. 4 C. ±2 D. 2
(1)一个非负数的平方根是2a-1和a-5,这个非负数是多少?
(2)已知a-1和5-2a是m的平方根,求a与m的值.