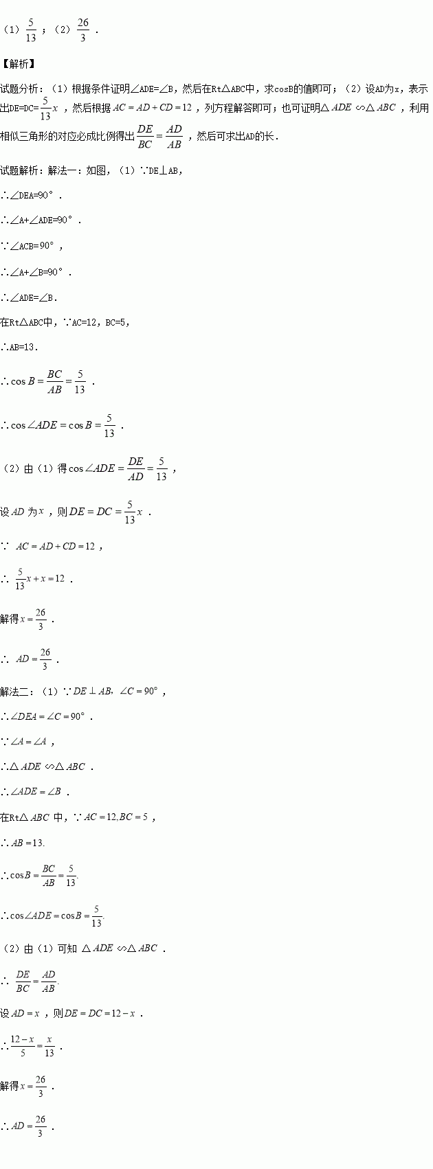
题目内容
如图,在△ABC中,∠ACB=,D为AC上一点,DE⊥AB于点E,AC=12,BC=5.
(1)求的值;
(2)当时,求的长.
某村种的水稻前年平均每公顷产7200kg,今年平均每公顷产8450kg.设这两年该村水稻每公顷产量的年平均增长率为x,根据题意,所列方程为_______________________。
在一条直线上依次有A、B、C三个港口,甲、乙两船同时分别从A、B港口出发,沿直线匀速驶向C港,最终达到C港.设甲、乙两船行驶x(h)后,与B港的距离分别为、(km),、与x的函数关系如图所示.
(1)填空:A.C两港口间的距离为 km, ;
(2)求图中点P的坐标;
(3)何时甲、乙两船相距18km.
直线y=2x-4与y轴的交点坐标是_____.
如图所示的数中,是轴对称图形的有( )
A. 1个 B. 2个 C. 3个 D. 4个
如图,△ABC的顶点A、B、C都在边长为1的正方形网格的格点上,则sinA的值为________.
在平面直角坐标系xOy中,A为双曲线上一点,点B的坐标为(4,0).若△AOB的面积为6,则点A的坐标为
A.(,)
B.(4,)
C.(,3)或(2,)
D.(,2)或(3,)
一种细菌的半径是m,用小数把它表示出来是_____.
为了节约用水,某市规定,每户居民每月用水不超过20立方米,按每立方米2元收费,超过20立方米,则超过部分按每立方米4元收费。现某居民在十二月份共交水费72元,则该户居民十二月份实际用水________立方米。