题目内容
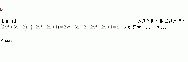
多项式2x2+3x-2与下列一个多项式的和是一个一次二项式,则这个多项式可以是:
A. -2x2-3x+2 B. -x2-3x+1 C. -x2-2x+2 D. -2x2-2x+1
已知二次函数y=ax2+bx+c的图象如图所示,OA=OC,则由抛物线的特征写出如下含有a、b、c三个字母的等式或不等式:①=﹣1;②ac+b+1=0;③abc>0;④a﹣b+c>0.其中正确的个数是( )
A. 4个 B. 3个 C. 2个 D. 1个
在演唱比赛中,5位评委给一位歌手的打分如下:8.2分,8.3分,7.8分,7.7分,8.0分,则这位歌手的平均得分是 分
七(1)班有(2a-b)个男生和(3a+b)个女生,则男生比女生少________________人.
为了参加全校文艺演出,某年级组建了46人的合唱队和30人的舞蹈队,现根据演出需要,从舞蹈队中抽调了部分同学参加合唱队,使合唱队的人数恰好是舞蹈队的人数的3倍.设从舞蹈队中抽调了x人参加合唱队,可得正确的方程是( )
A. 3(46-x)=30+x B. 46+x=3(30-x)
C. 46-3x=30+x D. 46-x=3(30-x)
市政府为了解决市民看病贵的问题,决定下调药品的价格,某种药品经过连续两次降价后,由每盒200元下调至128元,求这种药品平均每次降价的百分率是多少?
已知,则________.
已知关于的一元二次方程.
若此方程有两个不相等的实数根,求实数的取值范围;
已知是此方程的一个根,求方程的另一个根及的值.
如图,△ABC≌△CDA,AB=5,BC=7,AC=6,则AD边的长为( )
A. 5 B. 6 C. 7 D. 不确定