题目内容
如图,抛物线y=(1)求抛物线的解析式及顶点D的坐标;
(2)判断△ABC的形状,证明你的结论;
(3)点M(m,0)是x轴上的一个动点,当MC+MD的值最小时,求m的值.
[注:抛物线y=ax2+bx+c的顶点坐标为(-
【答案】分析:(1)因为点A在抛物线上,所以将点A代入函数解析式即可求得;
(2)由函数解析式可以求得其与x轴、y轴的交点坐标,即可求得AB、BC、AC的长,由勾股定理的逆定理可得三角形的形状;
(3)首先可求得二次函数的顶点坐标,再求得C关于x轴的对称点C′,求得直线C′D的解析式,与x轴的交点的横坐标即是m的值.
解答:
解:(1)∵点A(-1,0)在抛物线y=
x2+bx-2上,
∴
×(-1)2+b×(-1)-2=0,b=-
∴抛物线的解析式为y=
x2-
x-2
y=
x2-
x-2=
(x2-3x-4)=
(x-
)2-
,
∴顶点D的坐标为(
,-
).(4分)
(2)当x=0时y=-2,
∴C(0,-2),OC=2.
当y=0时,
x2-
x-2=0,
∴x1=-1,x2=4,
∴B(4,0).(6分)
∴OA=1,OB=4,AB=5.
∵AB2=25,AC2=OA2+OC2=5,BC2=OC2+OB2=20,
∴AC2+BC2=AB2.
∴△ABC是直角三角形. (8分)
(3)作出点C关于x轴的对称点C′,则C′(0,2),OC′=2
连接C′D交x轴于点M,
根据轴对称性及两点之间线段最短可知,MC+MD的值最小. (9分)
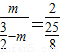
解法一:设抛物线的对称轴交x轴于点E.
∵ED∥y轴,
∴∠OC′M=∠EDM,∠C′OM=∠DEM
∴△C′OM∽△DEM.
∴
∴
,
∴m=
12分
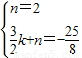
解法二:设直线C′D的解析式为y=kx+n,
则
,
解得n=2,k=-
.
∴y=-
x+2.
∴当y=0时,-
x+2=0,x=
.
∴m=
. (12分)
点评:此题考查了待定系数法求解析式,考查了二次函数与一次函数的综合应用,解题时要注意数形结合思想的应用.
(2)由函数解析式可以求得其与x轴、y轴的交点坐标,即可求得AB、BC、AC的长,由勾股定理的逆定理可得三角形的形状;
(3)首先可求得二次函数的顶点坐标,再求得C关于x轴的对称点C′,求得直线C′D的解析式,与x轴的交点的横坐标即是m的值.
解答:
∴
∴抛物线的解析式为y=
y=
∴顶点D的坐标为(
(2)当x=0时y=-2,
∴C(0,-2),OC=2.
当y=0时,
∴x1=-1,x2=4,
∴B(4,0).(6分)
∴OA=1,OB=4,AB=5.
∵AB2=25,AC2=OA2+OC2=5,BC2=OC2+OB2=20,
∴AC2+BC2=AB2.
∴△ABC是直角三角形. (8分)
(3)作出点C关于x轴的对称点C′,则C′(0,2),OC′=2
连接C′D交x轴于点M,
根据轴对称性及两点之间线段最短可知,MC+MD的值最小. (9分)
解法一:设抛物线的对称轴交x轴于点E.
∵ED∥y轴,
∴∠OC′M=∠EDM,∠C′OM=∠DEM
∴△C′OM∽△DEM.
∴
∴
∴m=
解法二:设直线C′D的解析式为y=kx+n,
则
解得n=2,k=-
∴y=-
∴当y=0时,-
∴m=
点评:此题考查了待定系数法求解析式,考查了二次函数与一次函数的综合应用,解题时要注意数形结合思想的应用.
练习册系列答案
相关题目