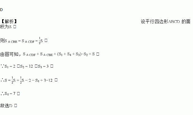
题目内容
如图,平行四边形中,点、分别在、上,依次连接、、、,图中阴影部分的面积分别为、、、,已知,、,则的值是( ).
A. B. C. D.
实数a、b在数轴上的位置如图所示,下列式子错误的是( )
A. a<b B. |a|>|b|
C. -a<-b D. b-a>0
如图,在Rt△ABC中,∠A=90°,AB=AC=8,点E为AC的中点,点F在底边BC上,且FE⊥BE,则△CEF的面积是( )
A. 16 B. 18 C. 6 D. 7
如图,长、宽的长方形绿地上修建宽度相同的道路,块绿地的面积共,求道路的宽.
若关于的一元二次方程有两个不相等的实数根,则的取值范围是__________.
如图,矩形中,对角线,交于点,若,,则的长为( ).
已知△ABC的三边长分别是a,b,c,其中a=3,c=5,且关于x的一元二次方程x2-4x+b=0有两个相等的实数根,判断△ABC的形状.
下列各组数中,是勾股数的是( )
A. 14,36,39
B. 8,24,25
C. 8,15,17
D. 10,20,26
化简时,甲的解法是:==,乙的解法是: ==,以下判断正确的是( )
A. 甲的解法正确,乙的解法不正确
B. 甲的解法不正确,乙的解法正确
C. 甲、乙的解法都正确
D. 甲、乙的解法都不正确