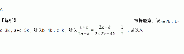
题目内容
已知a,b,c满足,则的值为
A. B. C. 1 D. 2
圆面积 S 与半径 r 之间的关系式 S=πr2 中自变量是____,因变量是____,常量是____.
若△ABC∽△A′B′C′,且,则△ABC与△A′B′C′的相似比是_______.
我市某蔬菜生产基地在气温较低时,用装有恒温系统的大棚栽培一种在自然光照且大棚内温度为20℃的条件下生长最快的新品种.如图是某天恒温系统从开启到关闭后大棚内温度y(单位:℃)随光照时间x(单位:h)变化的大致图象,其中BC段是双曲线的一部分.请根据图中信息解答下列问题:
(1)这天恒温系统在保持大棚内温度20℃的时间有 h;
(2)求k的值;
(3)当x=16 h时,大棚内的温度约为多少℃?
小刚身高1.72m,他站立在阳光下的影子长为0.86m,紧接着他把手臂竖直举
起,影子长为1.15m,那么小刚举起的手臂超出头顶是_________m.
下列性质中正方形具有而矩形不具有的是( )
A. 对边相等 B. 对角线相等
C. 四个角都是直角 D. 对角线互相垂直
解方程:
(1) (2)
如果下列各组数是三角形的三边,那么不能组成直角三角形的一组数是( )
A. 2,3,4 B. 3,4,5 C. 6,8,10 D. , ,1
计算1+的结果是( )
A. B. C. D.