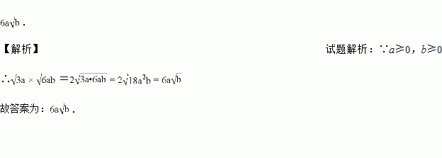
题目内容
计算:=__________(a≥0,b≥0).
已知y=(m+1)x2﹣|m|+n+4
(1)当m、n取何值时,y是x的一次函数?
(2)当m、n取何值时,y是x的正比例函数?
下列不等式组中,是一元一次不等式组的是()
A. B. C. D.
不等式组的整数解是( )
A. ﹣1 B. ﹣1,1,2 C. ﹣1,0,1 D. 0,1,2
已知关于x的不等式组恰有5个整数解,则t的取值范围是( )
A. ﹣6<t< B. ﹣6≤t< C. ﹣6<t≤ D. ﹣6≤t≤
当x<0时,等于( )
A. x B. x C. -x D. -x
把根号外的因式移到根号内:
(1) ;
(2).
计算:(1);(2);(3);(4);(5)
如图,正方形OBAC中,O(0,0),A(-2,2),B,C分别在x轴、y轴上,D(0,1),CE⊥BD交BD延长线于点E,求点E的坐标.