题目内容
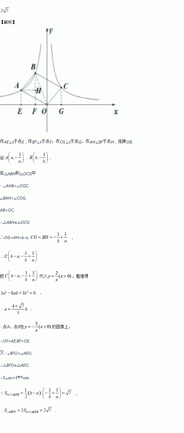
如图,点A、B在双曲线
上,连接OA、AB,以OA、AB为边作□OABC,若点C恰落在双曲线
上,此时□OABC的面积为_____.
![]()
练习册系列答案
相关题目
为了解某班学生每天使用零花钱的情况,小红随机调查了该班15名同学,结果如下表:
每天使用零花钱(单位:元) | 3 | 5 | 10 | 15 | 20 |
人数 | 2 | 6 | 3 | 3 | 1 |
则这15名同学每天使用零花钱的众数是( ).
A. 20元 B. 6元 C. 5元 D. 3元
题目内容
如图,点A、B在双曲线
上,连接OA、AB,以OA、AB为边作□OABC,若点C恰落在双曲线
上,此时□OABC的面积为_____.
![]()
为了解某班学生每天使用零花钱的情况,小红随机调查了该班15名同学,结果如下表:
每天使用零花钱(单位:元) | 3 | 5 | 10 | 15 | 20 |
人数 | 2 | 6 | 3 | 3 | 1 |
则这15名同学每天使用零花钱的众数是( ).
A. 20元 B. 6元 C. 5元 D. 3元