题目内容
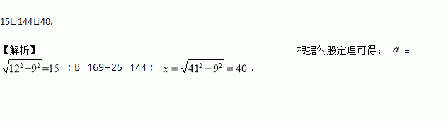
根据下图中的数据,确定a=_______,B=_______,x=_______.
![]()
练习册系列答案
相关题目
(满分l2分)甲、乙两同学开展“投球进筐”比赛,双方约定:①比赛分6局进行,每局在指定区域内将球投向筐中,只要投进一次后该局便结束;②若一次未进可再投第二次,依此类推,但每局最多只能投8次,若8次投球都未进,该局也结束;③计分规则如下:a.得分为正数或0;b.若8次都未投进,该局得分为0;C.投球次数越多,得分越低;d.6局比赛的总得分高者获胜.
(1)设某局比赛第n(n=l,2,3,4,5,6,7,8)次将球投进,请你按上述约定,用公式、表格或语言叙述等方式,为甲、乙两位同学制定一个把挖换算为得分M的计分方案;
(2)若两人6局比赛的投球情况如下(其中的数字表示该局比赛进球时的投球次数,“×”表示该局比赛8次投球都未进):
第一局 | 第二局 | 第三局 | 第四局 | 第五局 | 第六局 | |
田 | 5 | × | 4 | 8 | 1 | 3 |
乙 | 8 | 2 | 4 | 2 | 6 | × |
根据上述计分规则和你制定的计分方案,确定两人谁在这次比赛中获胜.